Integrating Agents.jl with DelaunayTriangulation.jl
This example illustrates how to integrate Agents.jl with DelaunayTriangulation.jl, a Julia package for computing Delaunay triangulations and Voronoi tessellations in the plane. We consider a model based on those discussed in the paper Comparing individual-based approaches to modelling the self-organization of multicellular tissues by Osborne et al. (2017); other models, such as weighted Delaunay triangulation models as discussed in this paper, are possible but are not considered here. For mathematical details about Delaunay triangulations and Voronoi tessellations, see the documentation for DelaunayTriangulation.jl. We emphasise that some parts of this example could be easily made more performant, but that is not the purpose of this exercise.
The model
The model we will be examining is a model of diffusion, proliferation, and death between three interacting species of cells.
Let the cell species be labelled R, B, and O, standing for red, blue, and orange cells, respectively. To each cell we associate some position $\mathbf x_i(t)$. Given a collection of cell positions $\mathcal P(t) = \{\mathbf x_i(t)\}$, let $\mathcal V(\mathcal P(t))$ denote its Voronoi tessellation; to avoid issues with unbounded Voronoi cells on the boundary, we will clip the Voronoi cells to the convex hull of the points, $\mathcal C\mathcal H(\mathcal P(t))$; i.e., we are considering $\mathcal V(\mathcal P(t)) \cap \mathcal C\mathcal H(\mathcal P(t))$ rather than $\mathcal V(\mathcal P(t))$ itself. The Voronoi cell associated with the position $\mathbf x_i(t)$ is denoted $\mathcal V_i$, and it is $\mathcal V_i$ that we treat as the cell itself for the purpose of associating areas with cells.
Diffusion
Now let's describe how the cells move in space and interact with eachother. We use a Hookean force law model for describing the interactions between cells, so that
\[\eta\dfrac{\mathrm d\mathbf x_i}{\mathrm dt} = \mathbf F_i(t) = \sum_{j \in \mathcal N_i(t)} \mathbf F_{ij}(t) + \mathbf F^{\textrm{rand}}_i(t),\]
where $\eta$ is a damping constant, $\mathcal N_i(t)$ is the set of neighbours of $\mathbf x_i(t)$ at time $t$ in the Delaunay triangulation $\mathcal D\mathcal T(\mathcal P(t))$, $\mathbf F_{ij}$ is the force on $\mathbf x_i$ due to $\mathbf x_j$, and $\mathbf F^{\textrm{rand}}_i$ is a random force applied to $\mathbf x_i$. The interaction forces $\mathbf F_{ij}$ are given by
\[\mathbf F_{ij}(t) = \mu_{ij}(t)\left(\|\mathbf x_{ij}\| - s_{ij}(t)\right)\hat{\mathbf x}_{ij},\]
where $\mu_{ij}(t)$ is the spring constant, $s_{ij}(t)$ is the resting spring length, $\mathbf x_{ij} = \mathbf x_j - \mathbf x_i$, and $\hat{\mathbf x}_{ij} = \mathbf x_{ij}/\|\mathbf x_{ij}\|$. To avoid issues with unduly long edges between cells along the boundary, whenever $\|\mathbf x_{ij}\| > \ell_{\max}$ we prevent the cells from interacting and declare $\mathbf F_{ij} = \mathbf 0$. The spring constant is given by $\mu_{ij} = \mu$ when the cells interacting are of the same species, otherwise
\[\mu_{ij}(t) = \begin{cases} \mu_{\textrm{het}}\mu & \|\mathbf x_{ij}\| > s_{ij}(t), \\ \mu & \|\mathbf x_{ij}\| \leq s_{ij}(t), \end{cases}\]
where $\mu_{\textrm{het}}$ is a heterotypic spring constant factor used to promote adhesion between cells of different species that are further apart than their resting spring length. For $t < 1$ we use $\mu_{\textrm{het}} = 1$ to prevent this adhesion for the initial population of cells. The resting spring length is allowed to grow over the first hour of each cell's life, so that
\[s_{ij}(t) = \min\{s, (s - \varepsilon)t + \varepsilon\},\]
where $\varepsilon$ is an expansion rate and $s$ is the mature resting spring length. With this definition, $s_{ij}(t)$ evolves from $\varepsilon$ to $s$ over the first hour of the cell's life, and remains at $s$ thereafter. The random force $\mathbf F^{\textrm{rand}}_i$ is given by
\[\mathbf F^{\textrm{rand}}_i(t) = \sqrt{\frac{2\xi}{\Delta t}}(\eta_1, \eta_2),\]
where $\xi$ is a diffusivity parameter, $\Delta t$ is the step size used in the simulation, and $\eta_1$ and $\eta_2$ are independent standard normal random variables.
To use these forces to evolve the cell positions, we use the forward Euler method to write
\[\mathbf x_i(t + \Delta t) = \mathbf x_i(t) + \Delta t \dfrac{1}{\eta}\mathbf F_i(t).\]
If this computed $\mathbf x_i(t + \Delta t)$ puts the cell position outside of some box $[a, b] \times [c, d]$, the step is rejected and the cell position remains at $\mathbf x_i(t)$. (Other choices such as restricting the cell position to the box and only allowing it to slide along the boundary are possible, but are not considered here.)
Proliferation
Now we consider cell proliferation. Cells are assumed to only be allowed to proliferate if they are between the ages $t_{\min}^k \leq t \leq t_{\max}^k$, where $k$ is the species of the cell so that the ages are species-dependent. Cells are assumed to proliferate according to a logistic proliferation law, and at most one cell may proliferation over a given interval $[t, t + \Delta t)$ (meaning $\Delta t$ should be chosen to be small enough that this is not an issue). Given that a cell does proliferate, the probability that it proliferates is given by $G_i^k\Delta t$, where
\[G_i^k = \max\left\{0, \beta^k\left(1 - \frac{1}{KA_i}\right)\right\},\]
where $\beta^k$ is the intrinsic proliferation rate, $K$ is a cell carrying capacity density, and $A_i$ is the area of $\mathcal V_i$. Thus, the probability that any proliferation event occurs in $[t, t+\Delta t)$ is given by $\sum_i G_i^k\Delta t$, where the sum is over all alive cells. When a cell does proliferate, the daughter cell is placed at a random position in $\mathcal V_i$ and is inserted into the tessellation. We also assume that cells that are too small cannot proliferate, and set $G_i^k = 0$ whenever $A_i < A_{\min}$ for some minimum allowable area $A_{\min}$.
When a cell proliferates, we allow for a mutation event to occur so that the daughter cell is not necessarily of the same species as its parent. We define probabilities $p_{\textrm{mut}}^k$ for each cell type, so that a red cell instead produces a blue cell with probability $p^R$, a blue cell instead produces an orange cell with probability $p^B$, and an orange cell instead produces a red cell with probability $p^O$.
Death
The final component of the model is cell death. There are three possible ways for a cell to die. Firstly, it may be too old, in which case we simply kill the cell. These maximum ages are denoted $d_{\max}^k$ for each species $k$. Secondly, a cell may get sick and die. For each cell over each time interval, there is a probability $p_{\textrm{sick}}^k\Delta t$ that it will die over that interval. Lastly, it may be outside of $[a, b] \times [c, d]$, in which case we kill the cell; this might only occur for daughter cells randomly placed in $\mathcal V_i$ and is done for simplicity.
Implementation
Let's now get into the details of the implementation. Let us start by defining our agent type. The cell types are defined using an @enum.
using Agents
@enum CellType begin
Red
Blue
Orange
end
@agent struct Cell(ContinuousAgent{2, Float64})
const color::CellType
const birth::Float64
death::Float64 = Inf
endModel parameters
To now actually use these agents, we need to have a definition for the model_step! function; we don't use agent_step! since it's simpler to do everything within model_step!. Defining model_step! requires us to first define all the other components.
We need to make these agents compatible with the interface required for DelaunayTriangulation.jl so that we can directly provide Cells into DelaunayTriangulation.jl. The functions we need to conform to this interface are minimal.
using DelaunayTriangulation
const DT = DelaunayTriangulation
DT.getx(cell::Cell) = cell.pos[1]
DT.gety(cell::Cell) = cell.pos[2]
DT.number_type(::Type{Cell}) = Float64
DT.number_type(::Type{Vector{Cell}}) = Float64
DT.is_point2(::Cell) = trueTo define the model parameters such as $\mu$, we use functions. An alternative is to just pass these as model parameters, but this is simpler for the purposes of this example.
spring_constant(p, q) = 20.0 # μ
heterotypic_spring_constant(p, q) = p.color == q.color ? 1.0 : 0.1 # μₕₑₜ
drag_coefficient(p) = 1 / 2 # η
mature_cell_spring_rest_length(p, q) = 1.0 # s
expansion_rate(p, q) = 0.05 * mature_cell_spring_rest_length(p, q) # ε
perturbation(p) = 0.01 # ξ
cutoff_distance(p, q) = 1.5 # ℓₘₐₓ
intrinsic_proliferation_rate(p) = p.color == Red ? 0.4 : p.color == Blue ? 0.5 : 0.8 # β
carrying_capacity_density(p) = 100.0^2 # K
min_division_age(p) = 1.0 # tₘᵢₙ
max_division_age(p) = p.color == Red ? 15.0 : p.color == Blue ? 20.0 : 3.0 # tₘₐₓ
max_age(p) = p.color == Red ? 10.0 : p.color == Blue ? 10.0 : 3.0 # dₘₐₓ
death_rate(p) = p.color == Red ? 0.001 : p.color == Blue ? 0.00005 : 0.0001 # psick
mutation_probability(p) = p.color == Red ? 0.3 : p.color == Blue ? 0.5 : 0.05 # pₘᵤₜ
min_area(p) = 1.0e-2 # Aₘᵢₙmin_area (generic function with 1 method)Next, we need the functions that compute these parameters for a given time and for a given pair of cells. In these functions, the model parameter is the StandardABM we will define later.
using LinearAlgebra
spring_constant(model, i::Int, j::Int, t) = spring_constant(model, model[i], model[j], t)
function spring_constant(model, p, q, t)
δ = norm(p.pos - q.pos)
s = rest_length(model, p, q, t)
μ = spring_constant(p, q)
t < 1 && return μ # no adhesion for the initial population
μₕₑₜ = heterotypic_spring_constant(p, q)
if δ > s
return μₕₑₜ * μ
else
return μ
end
end
rest_length(model, i::Int, j::Int, t) = rest_length(model, model[i], model[j]..., t)
function rest_length(model, p, q, t)
s = mature_cell_spring_rest_length(p, q)
ε = expansion_rate(p, q)
return min(s, (s - ε) * t + ε)
end
function proliferation_rate(model, i::Int, t)
p = model[i]
age = t - p.birth
tₘᵢₙ = min_division_age(p)
tₘₐₓ = max_division_age(p)
A = get_area(model.tessellation, i)
if age ≤ tₘᵢₙ || age ≥ tₘₐₓ || A < min_area(p)
return 0.0
end
vorn = model.tessellation
Aᵢ = get_area(vorn, i)
β = intrinsic_proliferation_rate(p)
K = carrying_capacity_density(p)
return max(0.0, β * (1 - 1 / (K * Aᵢ)))
endproliferation_rate (generic function with 1 method)Now we need the function that computes the total force on a cell at each time.
force(model, i::Int, j::Int, t) = force(model, model[i], model[j], t)
function force(model, p, q, t)
δ = norm(p.pos - q.pos)
if δ > cutoff_distance(p, q)
return SVector(0.0, 0.0)
end
μ = spring_constant(model, p, q, t)
s = rest_length(model, p, q, t)
rᵢⱼ = q.pos - p.pos
return μ * (norm(rᵢⱼ) - s) * rᵢⱼ / norm(rᵢⱼ)
end
function random_force(model, i)
p = model[i]
ξ = perturbation(p)
η₁, η₂ = randn(), randn()
Δt = model.dt
return sqrt(2ξ / Δt) * SVector(η₁, η₂)
end
function force(model, i::Int, t)
F = SVector(0.0, 0.0)
for j in get_neighbours(model.triangulation, i)
DT.is_ghost_vertex(j) && continue
F = F + force(model, i, j, t)
end
F = F + random_force(model, i)
return F
endforce (generic function with 3 methods)In the last force function, the check for is_ghost_vertex is needed since DelaunayTriangulation.jl stores ghost vertices in the triangulation for representing boundary information; see the documentation for DelaunayTriangulation.jl. Note also that this force is not the velocity of the cell itself, but the force acting on the cell. To get the velocity, we must divide by the drag coefficient.
velocity(model, i, t) = force(model, i, t) / drag_coefficient(model[i])velocity (generic function with 1 method)Implementing model_step!
Migrating all the cells can now be done as follows. This is done in two stages, where we first compute the velocities and then move the cells. This is needed since, if we update the cell positions while updating the velocities, later cells will not be correct as they will be computed using the updated positions. The each_solid_vertex function iterates all over all the vertices in the triangulation, and thus the alive cells; the solid adjective is used to avoid iterating over the ghost vertices. (A more performant way to handle these updates would also be to iterate over edges rather than vertices, but this is not considered here.)
function update_velocities!(model, t)
for i in each_solid_vertex(model.triangulation)
model[i].vel = velocity(model, i, t)
end
return model
end
function new_position(model, i, t)
xᵢ = model[i]
vel = xᵢ.vel
r = xᵢ.pos + model.dt * vel
x, y = r
xmax, ymax = spacesize(model)
if x < 0 || x > xmax || y < 0 || y > ymax
r = xᵢ.pos
end
return r
end
function update_positions!(model, t)
update_velocities!(model, t)
for i in each_solid_vertex(model.triangulation)
model[i].pos = new_position(model, i, t)
end
return model
endupdate_positions! (generic function with 1 method)The next component to implement is proliferation. This will be a bit complicated since we need to know how to sample from the Voronoi cell. Let's start by writing the function that allows us to identify the Voronoi cell to proliferate. Since the proliferation probabilities are $G_i\Delta t$, we can build a vector that gives the cumulative sum of these probabilities; note that the last entry in this vector will be the sum of all the probabilities, and thus the probability that any proliferation event occurs.
function proliferation_probability(model, t)
Δt = model.dt
probs = zeros(nagents(model)) # Technically nagents is not the number of alive agents, but with the way we are handling agents this is correct
for i in allids(model)
if !DT.has_vertex(model.triangulation, i) || i in model.dead_cells
i > 1 && (probs[i] = probs[i - 1])
continue
end
Gᵢ = proliferation_rate(model, i, t)
if i > 1
probs[i] = probs[i - 1] + Gᵢ * Δt
else
probs[i] = Gᵢ * Δt
end
end
return probs
end
function select_proliferative_cell(model, probs)
E = probs[end]
u = rand() * E
i = searchsortedlast(probs, u) + 1 # searchsortedlast instead of searchsortedfirst since we skip over some agents in probs
return i
endselect_proliferative_cell (generic function with 1 method)Since we will not be clearing agents from the model, and instead only marking them as dead, we use has_vertex on the triangulation rather than hasid on the model itself.
Now let's write the function for sampling from a Voronoi cell. First, for sampling from a triangle, we use the algorithm from this article.
function sample_triangle(tri::Triangulation, T)
i, j, k = triangle_vertices(T)
p, q, r = get_point(tri, i, j, k)
px, py = getxy(p)
qx, qy = getxy(q)
rx, ry = getxy(r)
a = (qx - px, qy - py)
b = (rx - px, ry - py)
u₁, u₂ = rand(), rand()
if u₁ + u₂ > 1
u₁, u₂ = 1 - u₁, 1 - u₂
end
ax, ay = getxy(a)
bx, by = getxy(b)
wx, wy = u₁ * ax + u₂ * bx, u₁ * ay + u₂ * by
return SVector(px + wx, py + wy)
endsample_triangle (generic function with 1 method)Next, we need to know how to select a random triangle from a triangulation. This is done by using a weighted sample according to the triangle areas.
using StreamSampling
function random_triangle(tri::Triangulation)
triangles = DT.each_solid_triangle(tri)
area(T) = DT.triangle_area(get_point(tri, triangle_vertices(T)...)...)
T = itsample(triangles, area)
return T
endrandom_triangle (generic function with 1 method)With these functions, sampling from a Voronoi cell is simple: First, triangulate the Voronoi cell. Then, sample a triangle from the triangulation, and finally sample a point from the triangle. The triangulate_convex function can efficiently triangulate the Voronoi cell, remembering that Voronoi cells are convex.
function triangulate_voronoi_cell(vorn::VoronoiTessellation, i)
S = @view get_polygon(vorn, i)[1:(end - 1)]
points = DT.get_polygon_points(vorn)
return triangulate_convex(points, S)
end
function sample_voronoi_cell(vorn::VoronoiTessellation, i)
tri = triangulate_voronoi_cell(vorn, i)
T = random_triangle(tri)
return sample_triangle(tri, T)
endsample_voronoi_cell (generic function with 1 method)We can now finally write the functions for computing the daughter cell and performing the proliferation event.
function place_daughter_cell!(model, i, t)
parent = model[i]
daughter = sample_voronoi_cell(model.tessellation, i) # this is an SVector, not a Cell
u = rand()
clr = parent.color
if u < mutation_probability(parent)
newclr = clr == Red ? Blue : clr == Blue ? Orange : Red
else
newclr = clr
end
add_agent!(daughter, model; color = newclr, birth = t, vel = SVector(0.0, 0.0))
return daughter
end
function proliferate_cells!(model, t)
probs = proliferation_probability(model, t)
u = rand()
event = u < probs[end]
!event && return false
i = select_proliferative_cell(model, probs)
daughter = place_daughter_cell!(model, i, t)
return true
endproliferate_cells! (generic function with 1 method)Next, we need the functions for cell death. This is much simpler. Rather than deleting the agents directly, we only mark them as dead.
function cull_cell!(model, i, t)
p = model[i]
elder = t - p.birth > max_age(p)
sick = rand() < model.dt * death_rate(p)
xmax, ymax = spacesize(model)
x, y = p.pos
outside = x < 0 || x > xmax || y < 0 || y > ymax
if elder || sick || outside
push!(model.dead_cells, i)
p.death = t
end
return model
end
function cull_cells!(model, t)
for i in each_solid_vertex(model.triangulation)
cull_cell!(model, i, t)
end
return model
endcull_cells! (generic function with 1 method)We are finally in a position to define model_step!. In this function, for updating the Delaunay triangulation and the Voronoi tessellation, we simply recompute them from scratch. There could be more performant ways to do this, such as with Shewchuk's star-splaying algorithm for recomputing the triangulation efficiently from the previous one, but we keep it simple here.
function model_step!(model)
stepn = abmtime(model)
t = stepn * model.dt
cull_cells!(model, t)
proliferate_cells!(model, t)
update_positions!(model, t)
model.triangulation = retriangulate(model.triangulation, allagents(model); skip_points = model.dead_cells)
model.tessellation = voronoi(model.triangulation, clip = true)
return model
endmodel_step! (generic function with 1 method)Initialising the model
Now with model_step! implemented, we are ready to actually work with our model. To start, we need a function that initialises our model. The initial population of cells is defined by placing random red cells in a circle centred at the centre of the box. The box $[a, b] \times [c, d]$ is defined by the sides parameter, defaulting to $[0, 20] \times [0, 20]$. In this function, for type reasons, we pass to triangulate a vector of Cells, rather than a vector of SVectors. This means we need a bit of duplication with add_agent! since StandardABM accepts the agent type rather than the agents themselves.
using Random
function initialize_cell_model(;
ninit = 50,
radius = 2.0,
dt = 0.01,
sides = SVector(20.0, 20.0)
)
Random.seed!(0)
# Generate the initial random positions
cent = SVector(sides[1] / 2, sides[2] / 2)
cells = map(1:ninit) do i
θ = 2π * rand()
r = radius * sqrt(rand())
pos = cent + SVector(r * cos(θ), r * sin(θ))
cell = Cell(;
id = i, pos = pos,
color = Red, birth = 0.0, vel = SVector(0.0, 0.0)
)
end
positions = [cell.pos for cell in cells]
# Compute the triangulation and the tessellation
triangulation = triangulate(cells)
tessellation = voronoi(triangulation, clip = true)
# Define the model parameters
properties = Dict(
:triangulation => triangulation,
:tessellation => tessellation,
:dt => dt,
:dead_cells => Set{Int}()
)
# Define the space
space = ContinuousSpace(sides; periodic = false)
# Define the model
model = StandardABM(Cell, space; model_step!, properties, container = Vector)
# Add the agents
for (id, pos) in pairs(positions)
add_agent!(pos, model; color = Red, birth = 0.0, vel = SVector(0.0, 0.0))
end
return model
endinitialize_cell_model (generic function with 1 method)Running the model
Let's define the data collection functions. To avoid collecting to much data, we avoid collecting any data on the agents themselves, and only consider model-level data. We want a function to count the number of cell types.
function count_cell_type(model, type)
stepn = abmtime(model)
t = stepn * model.dt
n = 0
for i in each_solid_vertex(model.triangulation)
n += model[i].color == type
end
return n
end
count_red(model) = count_cell_type(model, Red)
count_blue(model) = count_cell_type(model, Blue)
count_orange(model) = count_cell_type(model, Orange)
count_total(model) = num_solid_vertices(model.triangulation)count_total (generic function with 1 method)Let's also compute the average cell area and diameter, where the diameter of a cell is defined as the length of the longest line segment between any two vertices of the cell. We also consider the average spring length, i.e. the average length of the edges in the Delaunay triangulation.
using StatsBase
function average_cell_area(model)
area_itr = (get_area(model.tessellation, i) for i in each_solid_vertex(model.triangulation))
mean_area = mean(area_itr)
return mean_area
end
function cell_diameter(vorn, i)
S = get_polygon(vorn, i)
# This is an O(|S|^2) method, but |S| is small so it is fine
max_d = 0.0
for i in S
p = get_polygon_point(vorn, i)
for j in S
i == j && continue
q = get_polygon_point(vorn, j)
d = norm(getxy(p) .- getxy(q))
max_d = max(max_d, d)
end
end
return max_d
end
function average_cell_diameter(model)
diam_itr = (cell_diameter(model.tessellation, i) for i in each_solid_vertex(model.triangulation))
mean_diam = mean(diam_itr)
return mean_diam
end
function average_spring_length(model)
spring_itr = (norm(model[i].pos - model[j].pos) for (i, j) in each_solid_edge(model.triangulation))
mean_spring = mean(spring_itr)
return mean_spring
endaverage_spring_length (generic function with 1 method)Now let's simulate. We start by running the entire simulation and looking at the results.
finalT = 50.0
model = initialize_cell_model()
nsteps = Int(finalT / model.dt)
mdata = [
count_red, count_blue, count_orange, count_total,
average_cell_area, average_cell_diameter, average_spring_length,
]
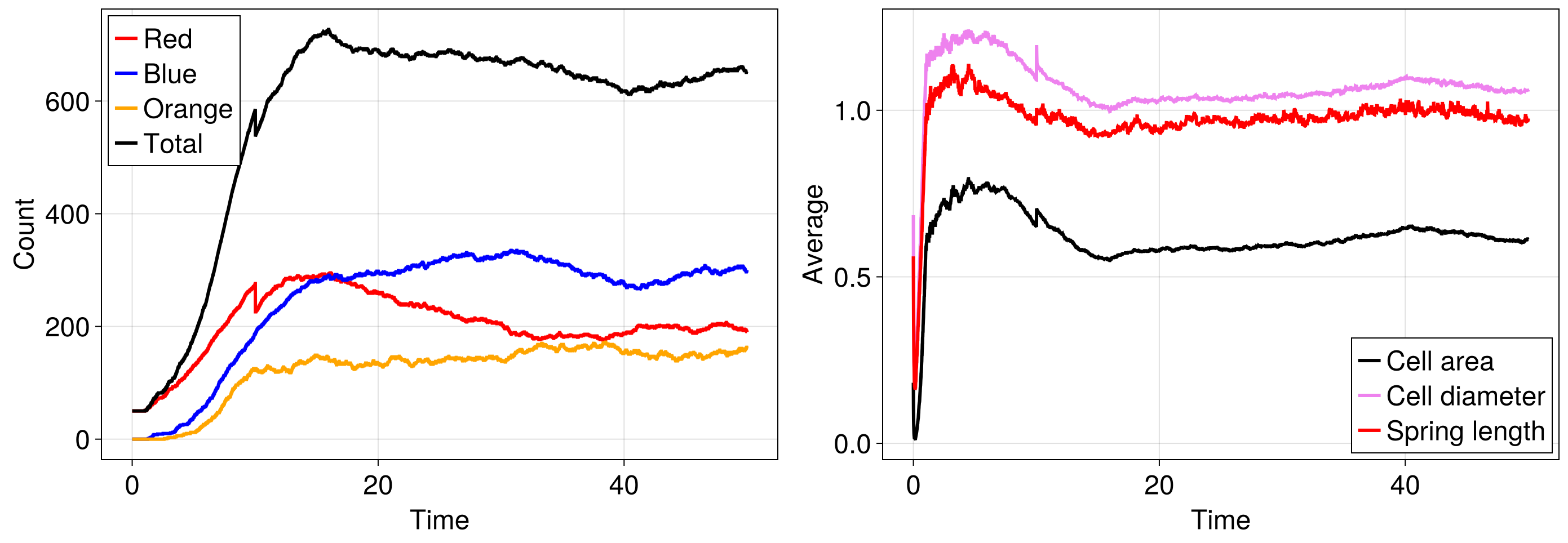
agent_df, model_df = run!(model, nsteps; mdata);using CairoMakie
time = 0:model.dt:finalT
fig = Figure(fontsize = 24)
ax = Axis(fig[1, 1], xlabel = "Time", ylabel = "Count", width = 600, height = 400)
lines!(ax, time, model_df[!, :count_red], color = :red, label = "Red", linewidth = 3)
lines!(ax, time, model_df[!, :count_blue], color = :blue, label = "Blue", linewidth = 3)
lines!(ax, time, model_df[!, :count_orange], color = :orange, label = "Orange", linewidth = 3)
lines!(ax, time, model_df[!, :count_total], color = :black, label = "Total", linewidth = 3)
axislegend(ax, position = :lt)
ax = Axis(fig[1, 2], xlabel = "Time", ylabel = "Average", width = 600, height = 400)
lines!(ax, time, model_df[!, :average_cell_area], color = :black, label = "Cell area", linewidth = 3)
lines!(ax, time, model_df[!, :average_cell_diameter], color = :violet, label = "Cell diameter", linewidth = 3)
lines!(ax, time, model_df[!, :average_spring_length], color = :red, label = "Spring length", linewidth = 3)
axislegend(ax, position = :rb)
resize_to_layout!(fig)
fig
Animating Voronoi cells
Let's now animate the results. To visualise the results we make use of abmplot, which requires that we know how to make a marker for each agent. We define a function voronoi_marker that returns the vertices of the Voronoi cell associated with the agent, and a function voronoi_color that returns the color of the agent. Note that, when plotting polygons, abmplot internally assumes that the cells are positioned at the origin. Thus, when obtaining the Voronoi cells, we need to subtract the position of the cell from the vertices of the Voronoi cell. We will show the data at each step during the animation as well, which requires a bit more complexity than just simply using abmvideo. To avoid synchronisation issues, rather than using Makie.jl's @lift we use Observables and update them directly.
voronoi_marker = (model, cell) -> begin
id = cell.id
verts = get_polygon_coordinates(model.tessellation, id)
return Makie.Polygon([Point2f(getxy(q) .- cell.pos) for q in verts])
end
voronoi_color(cell) = cell.color == Red ? :red : cell.color == Blue ? :blue : :orange
model = initialize_cell_model() # reinitialise the model for the animation
fig, ax, amobs = abmplot(
model, agent_marker = cell -> voronoi_marker(model, cell), agent_color = voronoi_color,
agentsplotkwargs = (strokewidth = 1,), figure = (; size = (1600, 800), fontsize = 34), mdata = mdata,
axis = (; width = 800, height = 800), when = 10
)
current_time = Observable(0.0)
t = Observable([0.0])
nred = Observable(amobs.mdf[][!, :count_red])
nblue = Observable(amobs.mdf[][!, :count_blue])
norange = Observable(amobs.mdf[][!, :count_orange])
ntotal = Observable(amobs.mdf[][!, :count_total])
avg_area = Observable(amobs.mdf[][!, :average_cell_area])
avg_diam = Observable(amobs.mdf[][!, :average_cell_diameter])
avg_spring = Observable(amobs.mdf[][!, :average_spring_length])
plot_layout = fig[:, end + 1] = GridLayout()
count_layout = plot_layout[1, 1] = GridLayout()
ax_count = Axis(count_layout[1, 1], xlabel = "Time", ylabel = "Count", width = 600, height = 400)
lines!(ax_count, t, nred, color = :red, label = "Red", linewidth = 3)
lines!(ax_count, t, nblue, color = :blue, label = "Blue", linewidth = 3)
lines!(ax_count, t, norange, color = :orange, label = "Orange", linewidth = 3)
lines!(ax_count, t, ntotal, color = :black, label = "Total", linewidth = 3)
vlines!(ax_count, current_time, color = :grey, linestyle = :dash, linewidth = 3)
xlims!(ax_count, 0, finalT)
ylims!(ax_count, 0, 800)
avg_layout = plot_layout[2, 1] = GridLayout()
ax_avg = Axis(avg_layout[1, 1], xlabel = "Time", ylabel = "Average", width = 600, height = 400)
lines!(ax_avg, t, avg_area, color = :black, label = "Cell area", linewidth = 3)
lines!(ax_avg, t, avg_diam, color = :magenta, label = "Cell diameter", linewidth = 3)
lines!(ax_avg, t, avg_spring, color = :red, label = "Spring length", linewidth = 3)
vlines!(ax_avg, current_time, color = :grey, linestyle = :dash, linewidth = 3)
axislegend(ax_avg, position = :rt)
xlims!(ax_avg, 0, finalT)
ylims!(ax_avg, 0, 2)
resize_to_layout!(fig)
on(amobs.mdf) do mdf
current_time[] = abmtime(amobs.model[]) * model.dt
t.val = mdf[!, :time] .* model.dt
nred[] = mdf[!, :count_red]
nblue[] = mdf[!, :count_blue]
norange[] = mdf[!, :count_orange]
ntotal[] = mdf[!, :count_total]
avg_area[] = mdf[!, :average_cell_area]
avg_diam[] = mdf[!, :average_cell_diameter]
avg_spring[] = mdf[!, :average_spring_length]
endObserverFunction defined at delaunay.md:659 operating on Observable(1×8 DataFrame
Row │ time count_red count_blue count_orange count_total average_cell_a ⋯
│ Int64 Int64 Int64 Int64 Int64 Float64 ⋯
─────┼──────────────────────────────────────────────────────────────────────────
1 │ 0 50 0 0 50 0.181 ⋯
3 columns omitted)To now record, use record from Makie.
record(fig, "delaunay_model.mp4", 1:(nsteps ÷ 10), framerate = 24) do i
step!(amobs, 10)
end"delaunay_model.mp4"